| 최초로 항암 천연산물 "오바토디올리드 지지체" 고효율적 합성 | ||
|
||
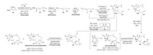
![]() 최근 난카이대학 약물화학생물학 국가중점실험실 천웨(陳悅) 연구팀은 최초로 항암 천연산물 오바토디올리드(ovatodiolide) 지지체(scaffold)를 고효율적으로 화학합성했다. 또한 해당 유형 화합물이 간암줄기세포를 선택적으로 사멸할 수 있는 등 약물개발의 잠재력을 실험적으로 확증했다. 해당 성과는 "Angewandte Chemie International Edition"에 게재되었다. 암줄기세포(CSC)는 다수 암의 재발 및 전이의 근원이다. 표적화 CSC는 암치료에 획기적인 진전을 가져다줄 전망이다. 따라서 해당 약물에 대한 임상 수요가 절박하다. 하지만 항CSC 화합물은 발견이 어렵고 관련 천연산물 또한 극히 적으며 대부분은 약물가능성(Druggability)이 미흡하다. 오바토디올리드는 중국 남부지역에서 흔히 볼 수 있는 1~2년생 직립초본식물인 방풍초(Anisomeles indica)의 주요 활성성분이다. 최근 오바토디올리드를 둘러싼 약리학 연구가 갈수록 증가하고 있다. 오바토디올리드가 다양한 암줄기세포에 대한 선택적 사멸효과는 여러 편의 논문에서 보고됐다. 오바토디올리드는 1963년에 분리되어서부터 지금까지 완전화학합성에 관한 연구보고가 없을 뿐만 아니라 오바토디올리드, 이소오바토디올리드(isoovatodiolide), 4,5-에폭시오바토디올리드(4,5-epoxyovatodiolide), 애니소멜리카시드(anisomelicacid) 등 천연산물의 절대입체배열도 확인된바 없다. 이는 오바토디올리드에 대한 심층적 약화학 연구를 크게 제한하고 있다. 연구팀은 문헌에 보고된 절대입체배열 오바토디올리드를 표적분자로 하였다. 또한 2개 핵심 직렬 전략, 최장 선형 6스텝, 발산적 합성 등을 이용해 최초로 오바토디올리드 대응 이성질체 및 이소오바토디올리드를 완전합성했다. 합성루트는 고효율적이고 간결하며 합성규모는 그램급에 도달한다. 뿐만 아니라 합성루트에서 아무런 보호기(Protecting Group)도 사용하지 않았다. 연구팀은 완전합성을 통해 오바토디올리드, 이소오바토디올리드, 4,5-에폭시오바토디올리드의 절대입체배열을 더한층 확인하고 수정했다. 또한 오바토디올리드 유도체 합성을 통해 오바토디올리드 지지체의 구조-활성 상관관계를 기본적으로 규명함과 아울러 실험을 통해 오바토디올리드가 간암줄기세포를 사멸할 수 있음을 확증했다. 이외, 실험을 통해 저농도(5μM) 이소오바토디올리드는 HepG2 간암줄기세포 함량을 낮출 수 있고, 동일한 농도에서 이소오바토디올리드의 종양 미소구체 형성능력 감소효과는 오바토디올리드에 비해 더 우수했으며, 양자 모두 항암줄기세포 후보약물 ACT001에 비해 더 나은 억제활성을 보유함을 확증했다. 정보출처 : http://news.sciencenet.cn/htmlnews/2019/6/427411.shtm |
